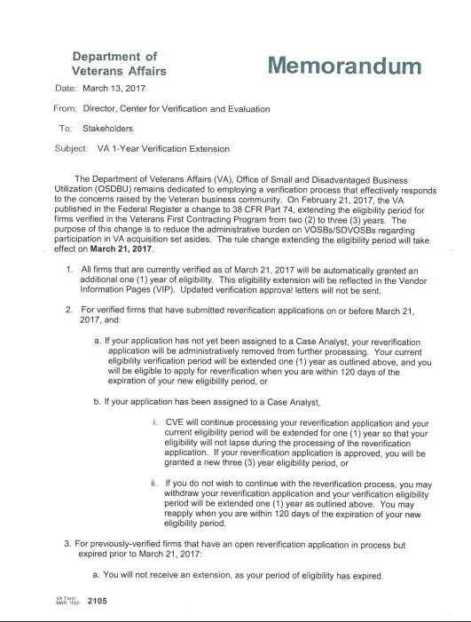
Home
About Us
COVID-19 Test for FEMA & PPE
Products
International
SAM/GSA
Contact
Menu
YTS Global, Inc.
Home
About Us
COVID-19 Test for FEMA & PPE
Products
International
SAM/GSA
Contact
Prev
Next